Oral Care

WhiVidone®

Trade name: WhiVidone®

化学描述

聚乙烯吡咯烷酮与过氧化氢络合物,PVP/H2O2 络合物

WhiVidone® 30 是KoVidoneTM K30 & H2O2的络合物

WhiVidone® 90 是KoVidoneTM K90 & H2O2的络合物

WhiVidone® XL 是PolyKoVidoneTM XL & H2O2的络合物

Share:

产品详情

CAS-NO.:9003-39-8, 7722-84-1


性质:

保留PVP聚合物的大部分特性

安全稳定

和水和唾液接触能有限度释放H2O2

易配成没有味道和气味的凝胶体、液体、药片和薄膜


产品规格:


Whividone ®3090XL
外观@25℃自由流动白色粉末
鉴别符合标准
过氧化氢 (by wt.) %17.0-20.016.0-20.016.0-20.0
水分*%max575
content/氮含量 %8--128--127--12
metals/重金属ppm max101010
*以总挥发物%-过氧化氢%计算


应用:

牙齿增白/漂白剂

假牙清洁药片中的去污剂和增白剂

隐形眼镜清洗剂/疣治疗/口腔溃疡治疗/局部防腐剂/伤口清洗剂/耳垢清理剂。

Other products

KoVidone® -I

KoVidone® -I

INCI/CTFA名:聚维酮碘

OraRez® AN

OraRez® AN

产品名称:PVM/MA共聚物

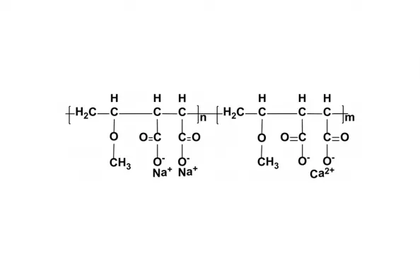
OraRez® MS

OraRez® MS

化学名称:乙烯基甲醚和马来酸共聚物钙/钠混合盐

OraRez® W

OraRez® W

化学名称: 乙烯基甲醚和马来酸酐的共聚物游离二酸

Contact Us

Contact Us

Telephone: +86 391 8696 320

Email: sales@boai-nky.com

Address: NKY Group Office, No.1888, Wenhua Road, Boai County, Jiaozuo, Henan

Submit information

Submit information

Copyright © Boai NKY Pharmaceutical Co., Ltd. All Rights Reserved | Sitemap