Liquid & Semi-Solid

OraRez® W

Trade name: OraRez® W

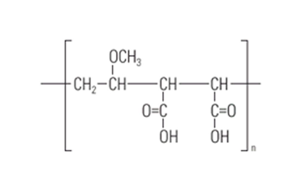
化学名称: 乙烯基甲醚和马来酸酐的共聚物游离二酸

CAS-NO: 25153-40-6

性质: 可溶于水,形成高极性的光滑膜,具有极好的湿粘合强度和生物粘附性。

Share:

产品详情

产品规格:


OraRez®W100P20P
外观白色类白色粉末
PH (5%水溶液)1.5-2.51.5-2.5
水分%max6.06.0
特性粘度 (1% 水溶液)4.0-10.00.4-1.5
重金属 ppm max.1010


应用:

口腔护理:

OraRez ®W在牙膏、漱口水中增溶活性物质,提高活性物质的生物利用度,在牙齿及口腔表面成膜,与杀菌剂协同作用,长效控制口腔菌群数量,减少牙菌斑,美白牙齿。


皮肤护理

皮肤护理中提高皮肤爽滑感,协助保湿。

OraRez ®W与甘油、聚丙烯酸甘油酯、聚丙烯酸钠、丙二醇等复配使用,形成优异的水分平衡剂,润滑剂和铺展剂性能,应用于保湿乳液;提供令人愉悦的丝滑感受;提供高强度的保水特性;赋予产品柔软和粉状感;降低粘着性和观感油性。

Other products

OraRez® AN

OraRez® AN

化学名称:乙烯基甲醚与马来酸酐线性共聚物

OraRez® MS

OraRez® MS

​化学名称:乙烯基甲醚和马来酸共聚物钙/钠混合盐

WhiVidone® 维酮白

WhiVidone® 维酮白

聚乙烯吡咯烷酮与过氧化氢络合物,PVP/H2O2 络合物

Contact Us

Contact Us

Telephone: +86 391 8696 320

Email: sales@boai-nky.com

Address: NKY Group Office, No.1888, Wenhua Road, Boai County, Jiaozuo, Henan

Submit information

Submit information

Copyright © Boai NKY Pharmaceutical Co., Ltd. All Rights Reserved | Sitemap