Liquid & Semi-Solid

Liquid & Semi-Solid

Certificates & Certifications Showcase

ISO9001

ISO9001

ISO9001

ISO9001

ISO14001

ISO14001

ISO22000

ISO22000

ISO45001

ISO45001

Safety Production License

Safety Production License

Pollutant Discharge Permit

Pollutant Discharge Permit

Food Production License

Food Production License

Food Production License

Food Production License

Drug Production License

Drug Production License

Product Registration Status

Product Registration Status

Halal

Halal

Kosher

Kosher

Kosher

Kosher

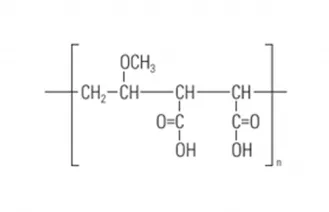
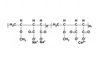
R&D

R&D

Since its establishment, NKY has established the corporate spirit of "care and innovation", respecting intellectual property rights, attaching importance to R&D team building, and guiding R&D resource investment with long-termism. It has constructed three R&D facilities in Boai (Pilot), Tianjin (Application R&D) and Shanghai (Advanced and Joint R&D). After years of accumulation, NKY Pharma has established a reliable moat in the core competitiveness of the industry, such as new polymer R&D, new product capacity expansion, automatic control of production technology, and stability between product batches.

Contact Us

Contact Us

Telephone: +86 391 8696 320

Email: sales@boai-nky.com

Address: NKY Group Office, No.1888, Wenhua Road, Boai County, Jiaozuo, Henan

Submit information

Submit information

Copyright © Boai NKY Pharmaceutical Co., Ltd. All Rights Reserved | Sitemap