Household Care

NoKesho ®55

Trade name: NoKesho ®55

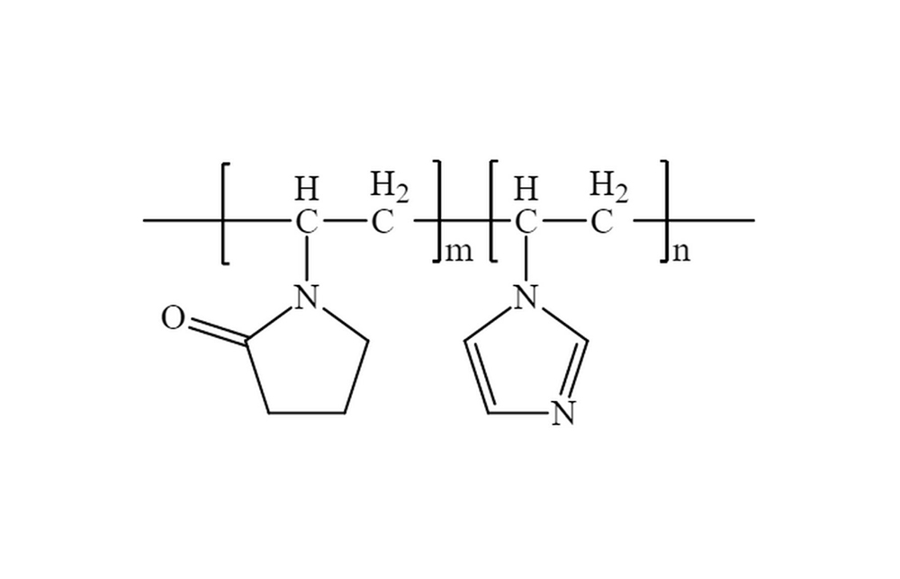
化学组成:乙烯基吡咯烷酮/乙烯基咪唑共聚物

英文简写:VP/VI

外观:白色至浅黄色粉末;白色至浅黄色颗粒;淡黄色至黄褐色聚合物液体

固含量:30±2%,40±2% (水溶液)

CAS NO.:  29297-55-0

Share:

产品详情

K值: 40±2(其他K值可定制)


pH值(原液): ≈8


应用领域

1.个人护理行业。作为对于皮肤/头发特定处理的有效成分的抗分解剂。

2.洗涤剂行业。各种洗衣液、工业衣物洗涤剂中,具有防串色、防污染性能。

3.印染业。被用作高性能防串色添加剂。

4.电子行业。作为制备纳米银线的过程中的封端剂。

5.其他

Other products

KoVidone® -I

KoVidone® -I

INCI/CTFA名:聚维酮碘

PolyViscol® K

PolyViscol® K

INCI/CTFA名:聚乙烯吡咯烷酮

Contact Us

Contact Us

Telephone: +86 391 8696 320

Email: sales@boai-nky.com

Address: NKY Group Office, No.1888, Wenhua Road, Boai County, Jiaozuo, Henan

Submit information

Submit information

Copyright © Boai NKY Pharmaceutical Co., Ltd. All Rights Reserved | Sitemap