Household Care

KoVidone® -I

Trade name: KoVidone® -I

INCI/CTFA名:聚维酮碘

化学名称:聚乙烯吡咯烷酮和碘的络合物

同义命名: PVP-碘,维酮碘,碘化聚维酮,PVP-I

CAS NO.:25655-41-8

Share:

产品详情

遵循药典:符合当前USP/NF, Ph. Eur


性质:稳定,无刺激;易溶于水和乙醇;与许多界面具有相容性;吸附于治疗表面以延长药效;优异的成膜性。


产品规格:


KoVidone®-ICP2020USP47EP11
外观自由流动红棕色粉末
鉴别水溶液为浅棕色
有效碘%9.0-12.09.0-12.09.0-12.0
碘% max.6.66.66
重金属ppm max.2020--
灰分% max.0.10.0250.1
含氮量%9.5-11.59.5-11.5--
pH值( 10% in water)---1.5-5.0
干燥失重%max.888


应用:可用于口腔护理,如漱口水;去屑香波;皮肤、器械消毒剂;家庭餐具消毒;食品工业消毒防腐,水产养殖,家畜防病。

Other products

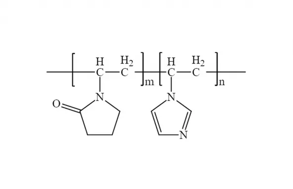
NoKesho ®55

NoKesho ®55

化学组成:乙烯基吡咯烷酮/乙烯基咪唑共聚物

PolyViscol® K

PolyViscol® K

INCI/CTFA名:聚乙烯吡咯烷酮

Contact Us

Contact Us

Telephone: +86 391 8696 320

Email: sales@boai-nky.com

Address: NKY Group Office, No.1888, Wenhua Road, Boai County, Jiaozuo, Henan

Submit information

Submit information

Copyright © Boai NKY Pharmaceutical Co., Ltd. All Rights Reserved | Sitemap